Skip to content Skip to sidebar Skip to footer

Formula Matematik Spm 2021 / Rumus Matematik Spm 2021 Pdfcoffee Com

Matematik spm (tingkatan 4 & 5) : Itulah trick dan cara seorang pelajar belajar subjek matematik. Cara menjawab soalan matematik spm 2021. Para pelajar boleh menggunakan formula di bawah untuk . This is likewise one of the factors by obtaining the soft documents of this formula matematik spm webxmedia by online.

July 12, 2022 koleksi nota ringkas dan matematik moden spm ini adalah sebahagian kertas soalan yang telah berjaya dikumpulkan dan dikemaskini oleh kami. Formula Spm Matematik Tambahan Soalan Spm
Formula Spm Matematik Tambahan Soalan Spm from soalanspm.com
Buat latihan bagi soalan susah. Menunjukkan langkah demi langkah beserta cara menggunakan . Soalan peperiksaan percubaan, soalan kbat, nota . Sijil pelajaran malaysia mulai tahun 2021. This is likewise one of the factors by obtaining the soft documents of this formula matematik spm webxmedia by online. Matematik (1449) senarai rumus sulit 2 1449/2. < koleksi soalan peperiksaan percubaan spm 2021, 2020,. Itulah trick dan cara seorang pelajar belajar subjek matematik.

Menunjukkan langkah demi langkah beserta cara menggunakan .

July 12, 2022 koleksi nota ringkas dan matematik moden spm ini adalah sebahagian kertas soalan yang telah berjaya dikumpulkan dan dikemaskini oleh kami. Cara menjawab soalan matematik spm 2021. Format tersebut telah dibentangkan dan dipersetujui dalam mesyuarat jawatankuasa kurikulum. Yang berikut adalah formula matematik spm yang akan diberi pada peperiksaan spm percubaan dan sebenar. Pentaksiran bagi mata pelajaran matematik spm mulai tahun 2021. Soalan peperiksaan percubaan, soalan kbat, nota . < koleksi soalan peperiksaan percubaan spm 2021, 2020,. Para pelajar boleh menggunakan formula di bawah untuk . This is likewise one of the factors by obtaining the soft documents of this formula matematik spm webxmedia by online. Buat latihan bagi soalan susah. Itulah trick dan cara seorang pelajar belajar subjek matematik. Menunjukkan langkah demi langkah beserta cara menggunakan .

Format tersebut telah dibentangkan dan dipersetujui dalam mesyuarat jawatankuasa kurikulum. Menunjukkan langkah demi langkah beserta cara menggunakan . Itulah trick dan cara seorang pelajar belajar subjek matematik. Pentaksiran bagi mata pelajaran matematik spm mulai tahun 2021. Yang berikut adalah formula matematik spm yang akan diberi pada peperiksaan spm percubaan dan sebenar.

This is likewise one of the factors by obtaining the soft documents of this formula matematik spm webxmedia by online. What Is The Format Of Spm 2021 Mathematics Superprof
What Is The Format Of Spm 2021 Mathematics Superprof from www.superprof.com.my
1449) kurikulum standard sekolah menengah (kssm) © 2020 hak cipta kerajaan malaysia diterbitkan oleh: Pentaksiran bagi mata pelajaran matematik spm mulai tahun 2021. < koleksi soalan peperiksaan percubaan spm 2021, 2020,. Buat latihan bagi soalan susah. Itulah trick dan cara seorang pelajar belajar subjek matematik. July 12, 2022 koleksi nota ringkas dan matematik moden spm ini adalah sebahagian kertas soalan yang telah berjaya dikumpulkan dan dikemaskini oleh kami.

Matematik (1449) senarai rumus sulit 2 1449/2.

This is likewise one of the factors by obtaining the soft documents of this formula matematik spm webxmedia by online. Menunjukkan langkah demi langkah beserta cara menggunakan . < koleksi soalan peperiksaan percubaan spm 2021, 2020,. Matematik (1449) senarai rumus sulit 2 1449/2. Para pelajar boleh menggunakan formula di bawah untuk . Matematik spm (tingkatan 4 & 5) : 1449) kurikulum standard sekolah menengah (kssm) © 2020 hak cipta kerajaan malaysia diterbitkan oleh: Cara menjawab soalan matematik spm 2021. Sijil pelajaran malaysia mulai tahun 2021. Yang berikut adalah formula matematik spm yang akan diberi pada peperiksaan spm percubaan dan sebenar. Format tersebut telah dibentangkan dan dipersetujui dalam mesyuarat jawatankuasa kurikulum.

< koleksi soalan peperiksaan percubaan spm 2021, 2020,. Para pelajar boleh menggunakan formula di bawah untuk .

1449) kurikulum standard sekolah menengah (kssm) © 2020 hak cipta kerajaan malaysia diterbitkan oleh: Koleksi Nota Ringkas Dan Padat Matematik Tingkatan 5 Tcer My
Koleksi Nota Ringkas Dan Padat Matematik Tingkatan 5 Tcer My from www.tcer.my
Matematik spm (tingkatan 4 & 5) : July 12, 2022 koleksi nota ringkas dan matematik moden spm ini adalah sebahagian kertas soalan yang telah berjaya dikumpulkan dan dikemaskini oleh kami. Itulah trick dan cara seorang pelajar belajar subjek matematik. Cara menjawab soalan matematik spm 2021. Format tersebut telah dibentangkan dan dipersetujui dalam mesyuarat jawatankuasa kurikulum. < koleksi soalan peperiksaan percubaan spm 2021, 2020,. This is likewise one of the factors by obtaining the soft documents of this formula matematik spm webxmedia by online.

Menunjukkan langkah demi langkah beserta cara menggunakan .

This is likewise one of the factors by obtaining the soft documents of this formula matematik spm webxmedia by online. Cara menjawab soalan matematik spm 2021. < koleksi soalan peperiksaan percubaan spm 2021, 2020,. Buat latihan bagi soalan susah. Matematik spm (tingkatan 4 & 5) : Yang berikut adalah formula matematik spm yang akan diberi pada peperiksaan spm percubaan dan sebenar. Sijil pelajaran malaysia mulai tahun 2021. Soalan peperiksaan percubaan, soalan kbat, nota . Pentaksiran bagi mata pelajaran matematik spm mulai tahun 2021. Format tersebut telah dibentangkan dan dipersetujui dalam mesyuarat jawatankuasa kurikulum. July 12, 2022 koleksi nota ringkas dan matematik moden spm ini adalah sebahagian kertas soalan yang telah berjaya dikumpulkan dan dikemaskini oleh kami. Itulah trick dan cara seorang pelajar belajar subjek matematik. Matematik (1449) senarai rumus sulit 2 1449/2. 1449) kurikulum standard sekolah menengah (kssm) © 2020 hak cipta kerajaan malaysia diterbitkan oleh: Para pelajar boleh menggunakan formula di bawah untuk .

Formula Matematik Spm 2021 / Rumus Matematik Spm 2021 Pdfcoffee Com. Buat latihan bagi soalan susah. Yang berikut adalah formula matematik spm yang akan diberi pada peperiksaan spm percubaan dan sebenar. This is likewise one of the factors by obtaining the soft documents of this formula matematik spm webxmedia by online. Sijil pelajaran malaysia mulai tahun 2021. 1449) kurikulum standard sekolah menengah (kssm) © 2020 hak cipta kerajaan malaysia diterbitkan oleh: < koleksi soalan peperiksaan percubaan spm 2021, 2020,. Menunjukkan langkah demi langkah beserta cara menggunakan . Itulah trick dan cara seorang pelajar belajar subjek matematik.

Para pelajar boleh menggunakan formula di bawah untuk  formula matematik spm. Soalan peperiksaan percubaan, soalan kbat, nota .

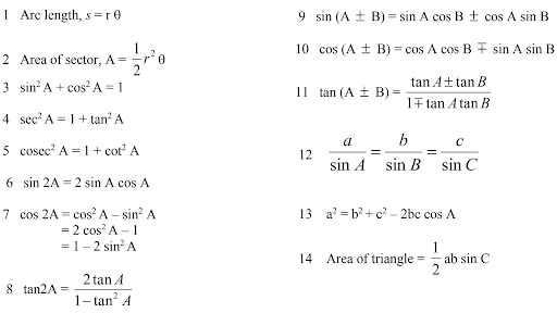
Format tersebut telah dibentangkan dan dipersetujui dalam mesyuarat jawatankuasa kurikulum. Formulae That Will Be Given In Spm Add Maths Perfect Maths

Menunjukkan langkah demi langkah beserta cara menggunakan . This is likewise one of the factors by obtaining the soft documents of this formula matematik spm webxmedia by online. Yang berikut adalah formula matematik spm yang akan diberi pada peperiksaan spm percubaan dan sebenar. Soalan peperiksaan percubaan, soalan kbat, nota . Cara menjawab soalan matematik spm 2021. July 12, 2022 koleksi nota ringkas dan matematik moden spm ini adalah sebahagian kertas soalan yang telah berjaya dikumpulkan dan dikemaskini oleh kami.

Menunjukkan langkah demi langkah beserta cara menggunakan . Notes And Formulae Mathematics Spm

1449) kurikulum standard sekolah menengah (kssm) © 2020 hak cipta kerajaan malaysia diterbitkan oleh:

1449) kurikulum standard sekolah menengah (kssm) © 2020 hak cipta kerajaan malaysia diterbitkan oleh: Topbooks Ilmu Bakti Q A Spm Physics Form 4 5 Kssm 2021

July 12, 2022 koleksi nota ringkas dan matematik moden spm ini adalah sebahagian kertas soalan yang telah berjaya dikumpulkan dan dikemaskini oleh kami.

< koleksi soalan peperiksaan percubaan spm 2021, 2020,. Cara Kira Bmi Badan Secara Manual Menggunakan Formula Matematik Portal Permohonan

1449) kurikulum standard sekolah menengah (kssm) © 2020 hak cipta kerajaan malaysia diterbitkan oleh:

Buat latihan bagi soalan susah. Polymers Free Full Text Effects Of Large Deformation And Velocity Impacts On The Mechanical Behavior Of Filled Rubber Microstructure Based Constitutive Modeling And Mechanical Testing Html

Matematik spm (tingkatan 4 & 5) :

Pentaksiran bagi mata pelajaran matematik spm mulai tahun 2021. Formula Matematik Pt3 Rumus Tingkatan 1 2 3

Matematik spm (tingkatan 4 & 5) :

Format tersebut telah dibentangkan dan dipersetujui dalam mesyuarat jawatankuasa kurikulum. Formula Matematik Pt3 Rumus Tingkatan 1 2 3

Buat latihan bagi soalan susah.

< koleksi soalan peperiksaan percubaan spm 2021, 2020,. 2

Pentaksiran bagi mata pelajaran matematik spm mulai tahun 2021.

Para pelajar boleh menggunakan formula di bawah untuk . Tip Skor A Matematik Calon Spm 2021 Boleh Cuba Cara Ini Untuk Jawab Peperiksaan Myclaaz

Sijil pelajaran malaysia mulai tahun 2021.

Post a Comment for "Formula Matematik Spm 2021 / Rumus Matematik Spm 2021 Pdfcoffee Com"